
设计精巧的纸模型

专业的事交给专业的平台!
标准报价,值得信赖。
省钱,省心,激光加工服务-首选-福唐激光-一站式服务平台:品类全、精度高、质量好、价格优惠、交期及时!新用户首次体验享500元优惠!
所有客户,均享受世界500强客户同等礼遇!
折纸,无论是东南西北,还是千纸鹤,纸飞机,都可以说是童年生活里不可或缺的一部分了。


折纸数学
Mathematics of Paper Folding
折纸如今已经被数学家广泛研究,比如讨论给定纸张模型的平面可折叠性——也就是模型是否可以在不损坏的情况下展平,以及使用折纸来解决数学方程式。

折纸中常用的几种折叠符号,在折纸教程中作者只需要在纸上画出这些符号,就可以明白折纸的全部流程
在一个一般的折纸问题中,人们只需要处理两种折痕,峰线和谷线。当然,也有很多小技巧去折腾曲线就是了,就像指甲,划一划就能方便地在纸上划痕,从而轻松地折出复杂的曲线。实际上,利用经纬排列的正方形格眼 (格数多为 2 和 3 的倍数) 及 45 度的折线我们就能折出非常非常非常多的东西了 [1]。

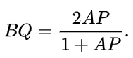
这样折叠可以产生一个简单的长度处理器,任意给定 P,都能输出特定的 Q。通过勾股定理和相似三角形我们可以得到两者间的具体数值关系
不过科学家们的脑洞总是停不下来,在折纸里,他们都想要玩点花样。比如如何三等分一条线段,如何实现在尺规作图中不可能完成的三等分角。如果我们把一张正方形的一个顶点折叠到与其相对的那条边上,我们就可以得到一个简单的长度处理器 [2]。

喂给它一个长度,它就会在另一边吐出一个长度。假如我们把正方形的顶点折叠到对边的中点上,我们就可以得到三等分的线段。假如我们折叠的是 2/3 处,就能得到五等分的线段。

更详细的数据表格,不断地对上表中的数据迭代计算,我们可以得到很多不同等分的方式

纸飞机
Paper Airplane

纸飞机的折法人尽皆知。在上个世纪 30 年代,约翰·诺斯洛普(美国航空工业家)就曾用它作为研究大飞机的模型。随着科技的不断发展,如今研究纸飞机的手段也越来越先进。

利用 Solidworks 进行简单的流体力学模拟计算 [3]
快捷有效的流体力学计算,可以让人们设计出更为高效的纸飞机形状。重心和升力中心的位置,机翼的形状等通通都可以优化。利用打印机,再复杂难懂的折纸图案,都可以准确无误地还原到纸上。

创下最长飞行距离记录的纸飞机实录
与之相对应,纸飞机的各项世界纪录也水涨船高。其中两项最为重要的记录为飞行时长和飞行距离。目前的世界纪录分别为由 Takuo Toda 保持的最长飞行时长 27.9 s 和由 Joe Ayoob 保持的最长飞行距离 69.14 m。[4]

一个自动折叠纸飞机并把它准确地投递到纸箱里的机器,发明者应该对纸飞机爱得深沉……

龙形曲线
Dragon Curve

龙形曲线 [6]
在无聊的时候,很多人会有拿起手头的纸乱叠的癖好。不断地对折一条纸带,然后将其展开,让线段之间的夹角均为 90 度,我们就能得到一条龙形曲线[5]——因为它真的长得很像一条龙。不过因为叠纸的厚度增长是指数型的,每次折叠以后纸的厚度都会变为折叠前的两倍,所以在折叠 6-7 次以后就无法折叠了。所以我们在现实生活中看到的龙形曲线并不那么完美。
所幸计算机技术已经十分发达,利用计算机,我们可以看到折纸生成大型龙形曲线的样子。

因为龙形曲线最早由 NASA 物理学家 John Heighway 等人开始相关探索和研究,所以也被称为 Heighway 曲线。

不断地通过同一个规则迭代生成的龙形曲线
数学上可以通过不断迭代的方法产生龙形曲线:
选定两个起始点
左右交替地将线段转换为以其为斜边的等腰直角三角形的另外两条边
不断重复第 2 步
回到我们的折纸问题上,龙形曲线其实也可以理解为一个人随机地选择左转或者右转前进,但是又从来不走重复的路,最后走过的路径最后会变成什么样?

龙形曲线具有分形特性,局部和整体具有相似性
说起龙形曲线本身最吸引科学家关注的地方,当然还是他的分形特性,以及带来的自相似性质了。在一幅龙形曲线图中,我们总可以找到一个较大的部分和一个较小部分的相似关系,宛如一条完全曲折的海岸线。通过比较图形尺寸变化与面积之间的关系,即可「定义」图形的维度。有趣的是,龙形曲线的维度恰好为 2。分形图案很多并不是 2,一般他们拥有分数维的维度。如科赫曲线,其维度为 1.26。这也就说明,龙形曲线有可能用来填充平面。也就是我们平常所说的铺地砖。

利用龙形曲线铺地板的一个例子,还意外地很好看

椭 圆
Ellipse
手头只有一个圆,怎么尽可能标准地画一个椭圆?
折纸就可以办到。

在圆中随意地选取一个圆心以外的点,不断地折叠圆形,让选中的点始终落在圆的边界上。经过不断的折叠,在圆中有一块区域,折痕始终进不去,通过严格的数学计算可以证明这就是一个椭圆,圆心和选定的点即为椭圆的两个焦点。实际上最开始我们把另一个焦点选在圆心上,我们就只能得到圆了。
我们可以使用类似的思路得到其他的图形,比如,我们选择的折痕把整个图形的面积分为特定的比例。

按照 9:1 的比例将半圆的面积一分为二,得到的曲线像一滴水滴的横截面
这种利用不断变化的线段围成的曲线被称为包络线。

其 他
Something Else
关于折纸,其实还有很多其他的应用。现在的人造卫星,大多使用太阳能电池板提供能量,但是怎么把太阳能电池板运上太空却是一个大问题。通过折纸的方式,先把太阳能电池板折叠起来,再在太空中展开,就是最为有效的方法,而这种折叠方式以其发明者命名——三浦折叠 [7]。

三浦折叠

激光加工服务-首选-福唐激光-一站式服务平台,省钱,省心:
品类全、精度高、质量好、价格优惠、交期及时!
新用户首次体验享500元优惠!
laser@ftiworks.com
福唐智能-激光加工-激光智能制造云商平台
福唐红中国红,苏州福唐智能科技有限公司是一家高科技智能制造企业,首创ASM概念,贯通激光加工脉络,提供一站式数字化激光加工服务,是您值得信赖的工业互联网激光云平台。已创立福唐星公益《关爱下一代做更有爱的家长》传播梦想之爱,铸造品牌形象,传播激光之美,引领科技亲子,铸就福唐梦中国梦。
专业的事认准专业的平台!
标准报价,值得信赖。
所有客户,均享受世界500强客户同等礼遇!
扫一扫在手机上阅读本文章
