通过将一个脉冲的能量压缩到很短的持续时间内释放,脉冲激光器能够实现大峰值功率,这使得激光加工和非线性频率转换等需要高强度的应用成为可能。此外,超短脉冲对于探测快速光与物质相互作用和高速光通信是非常重要的。因此,脉冲光源的精确时域表征与脉冲能量以及空间轮廓和光谱特性的准确评估同等重要。脉冲激光根据脉冲产生方法不同,脉冲宽度范围覆盖从微秒到飞秒量级。因为当前高速光接收器的响应时间被限制 10 ps,所以使用光电探测器直接测量低于 20 ps 的脉冲仍然是一项挑战。使用光开关技术的超短脉冲间接测量方法已经被开发,将在下文讨论。在介绍表征技术之前,将详细说明脉冲激光器的时域特性。
激光脉冲时域轮廓
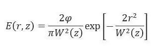
对于脉冲激光,输出功率 (φ) 是一个与时间相关的量。激光束空间轮廓相同,时域轮廓具有振幅、脉冲形状和宽度。常见的轮廓如呈高斯函数的形状(如下图1所示)可以写成:

脉冲宽度定义为功率下降到峰值功率值 (φpk) 的 1/e 或者 0.37 时的半径(HW1/e)。时域宽度有时也称为半高全宽,对于高斯脉冲半高全宽比 τ 大 2(ln2)½ 倍。激光系统能够产生许多脉冲形状,包括洛伦兹、双曲正割和平顶型。与激光束类似,激光脉冲随传播过程会发生变化,这种变化的一个重要结果是超短脉冲(即 τ 值小于 35 fs)在色散介质中传输仅仅几厘米之后就会发生明显的脉冲展宽。

图 1 高斯时域脉冲函数及其归一化自相关函数(ACF)(虚线)
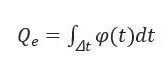
φpk 值与平均功率明显不同,给出的是脉冲峰值处功率的瞬时值。对于高斯脉冲,φpk 的值可以通过下面式子确定,φ(t) 在整个脉冲上的积分得到脉冲能量(Qe)。

因此,通过在第一个式子积分高斯脉冲,可以得到峰值功率,也就是说,峰值功率和脉冲宽度之间的反比关系是很清晰的。
此外,采用高斯形式的 φ(t) 并将其插入下面式子可得到脉冲激光的时空辐照度分布。时空辐照度分布公式对评估峰值辐照度或者峰值功率密度等重要参数是至关重要的。

自相关
时间事件的测量要求探测方法的响应至少和正在测量的事件一样快。高速光接收器的响应时间有限,因此测量持续时间小于 10 ps 的脉冲需要将光脉冲本身作为响应函数。自相关仪(见图 2)是一种使用这种方法来测量超短激光脉冲形状和持续时间的设备。不需要脉冲的相位信息时,自相关是确定脉冲宽度最简单的方法。自相关是使用迈克耳孙干涉仪记录二阶相关函数。具有电场 E(t) 的输入脉冲激光首先通过分束器分成两束,两束激光分别经过两个独立的时间延长线产生时间延迟,其中一个延长线是可变的,另一个是固定的。然后,两路脉冲,E(t) 和 E(t-τ),在非线性晶体中重新结合,产生 SHG,SHG 信号的总强度与场的总和的平方成正比,如图 2所示。信号中的一个分量 (2E(t)E(t-τ)),只由两个脉冲的时域叠加决定,只有当两个脉冲在时间上重叠时,才会出现信号的这个分量。一个光圈或者小孔只允许这个分量被发送至探测器,通常是光电二极管。光电二极管将这个信号平方后对其进行积分,得到与两路脉冲强度成正比的信号强度。通过记录该信号与时间延迟的函数关系,得到激光脉冲的强度自相关。

图 2 典型自相关仪的原理示意图
图 2 左侧所示自相关方程是两路脉冲的相关函数,而不是脉冲的直接测量结果。如果这两路脉冲相同,那么这个方程可以解析求解,并且仅仅通过自相关信号宽度除以一个取决于脉冲轮廓的常数因子就可以确定脉冲宽度。应该清楚的是,自相关宽度一直大于实际脉冲宽度。从图1所示高斯脉冲可以看出这一点,对于高斯脉冲自相关宽度是脉冲宽度的倍。
频率分辨光学开关
由于时间-带宽不确定原理,超短激光脉冲通常带有明显的光谱宽度(通常为 10—100 nm)。自相关能测量一个超短脉冲的宽度,但是不能表征不同组成光谱成分之间的相位关系,主要原因是自相关仪使用的是单元件光电探测器,这种探测器会在脉冲光谱轮廓上进行积分。光在色散介质中传播时,光谱成分之间的关系会发生改变,产生啁啾效应,引起脉冲展宽。幸运的是,存在可以监测脉冲光谱轮廓随时间变化的技术,因而可以完整地重建电场。这些技术中,频率分辨光学开关 (FROG) 大概是最直接且最容易实施的。图3所示为该技术的最简版本(SHG FROG),本质上是一个光谱分辨自相关仪,将 SHG 信号发送到光谱仪,而不是单元件光电二极管。
图3所示为典型的 SHG FROG 装置产生的信号,并揭示了在色散介质中传播后脉冲展宽的变化。从 FROG 轨迹中提取电场信息比从自相关信号中提取强度复杂得多,FROG 轨迹的分析需要结合二维相位复原算法的迭代方法。幸运的是,目前已存在相位复原的有效算法。另外,还有可用于 FROG 的替代几何结构,包括自衍射 FROG(SD FROG)。这种几何结构提供了光谱相位的符号(不是用单个 SHG FROG 扫描提取的),分析起来更为直观,可以进行实时啁啾测量,但 SD FROG 的缺点需要依赖非常高的峰值功率来产生足够的信号。

图 3:SHG FROG 装置的原理示意图(左)和一个 20 fs 脉冲通过色散介质之前(a)和之后(b)的 SHG FROG 轨迹(右)
脉冲性能和表征技术的其他相关内容可参阅文献:Additional online content discussing pulse properties and characterization techniques can be found in。
扫一扫在手机上阅读本文章
